配合三星旗舰手机Galaxy S10和S10+的推出,大马三星宣布推出旧手机换新手机优惠。如今你可以你的旧手机Trade in,并购买全新的三星Galaxy S10或 S10+。
大马三星宣布推出Trade in优惠活动。如果你家中有旧的Apple、Huawei、Oppo、Samsung、Vivo手机,那你可以考虑送到附近的三星分行进行Trade in,以购买全新的Galaxy S10或S10+。
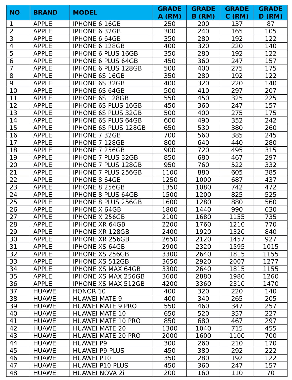
不过要特别注意的是,三星把旧手机分为4个等级,也就是Grade A、B、C和D。每个等级的手机都有不同的Trade in价格。
Grade A的旧手机在各方面都处于良好的状态,而Grade B手机则允许小部分状态不佳,其余的Grade C和D也允许手机出现部分问题。
三星的Trade in优惠从3月8日至4月30日在全马的三星授权经销处进行。


